CHP Efeler İlçe Gençlik Kolları Başkanı Av. Oğuzhan Madenci, yaptığı açıklamada eleştirilerin tek taraflı ve gerçeklikten uzak olduğunu belirterek, benzer uygulamaların AK Partili belediyelerde de yapıldığını hatırlattı.
MADENCİ: “UNUTTUĞUNUZ DÜNÜ BİZ HATIRLATIRIZ”
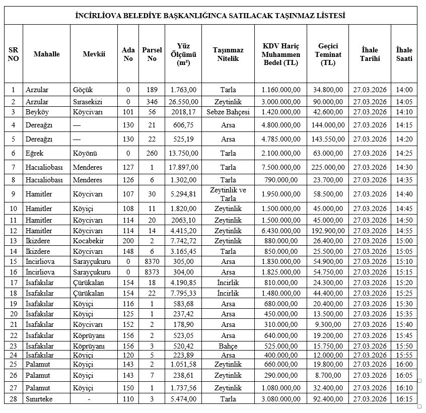
Madenci, özellikle İncirliova Belediyesi üzerinden dikkat çeken bir örnek vererek, “Unuttuğunuz dünü biz hatırlatırız” ifadelerini kullandı. 27 Mart 2026 tarihinde AK Partili İncirliova Belediyesi’nin yaklaşık 53 milyon lira değerindeki 28 taşınmazı satışa çıkardığını vurgulayan Madenci, bu durumun görmezden gelinmesini eleştirdi.
Ekonomik koşullara dikkat çeken Madenci, belediyelerin içinde bulunduğu mali tablonun temelinde yerel yönetim anlayışından ziyade ülke genelindeki ekonomik politikaların olduğunu ifade etti. Merkezi bütçeden gelen kaynakların azalması, artan maliyetler ve daralan finansman imkânlarının yalnızca bir belediyeyi değil, tüm yerel yönetimleri etkilediğini belirten Madenci, “Sorun belediyecilik değil, yarattığınız ekonomik tablo” dedi.
AK Parti cephesinden gelen eleştirilerin samimiyetten uzak olduğunu savunan Madenci, “Aynı uygulamayı kendi belediyeleriniz yaparken sessiz kalıp, konu CHP’li belediyeler olunca eleştirmek siyasi çelişkidir. İğneyi önce kendinize batırın” sözleriyle tepkisini dile getirdi.

![]() |
![]() |
![]() |
![]() |
|||||
|
|
|||||||
![]() Küfür, hakaret içeren; dil, din, ırk ayrımı yapan; yasalara aykırı ifade ve beyanda bulunan ve tamamı büyük harflerle yazılan yorumlar yayınlanmayacaktır. Neleri kabul ediyorum: IP adresimin kaydedileceğini, adli makamlarca istenmesi durumunda ip adresimin yetkililerle paylaşılacağını, yazılan yorumların sorumluluğunun tarafıma ait olduğunu, yazımın, yetkililerce, fikrim sorulmaksızın yayından kaldırılabileceğini bu siteye girdiğim andan itibaren kabul etmiş sayılırım. |
| # | TAKIM | O | G | B | M | A | Y | AV | P |
|---|---|---|---|---|---|---|---|---|---|
| 1 | Galatasaray | 34 | 24 | 5 | 5 | 77 | 30 | 47 | 77 |
| 2 | Fenerbahçe | 34 | 21 | 11 | 2 | 77 | 37 | 40 | 74 |
| 3 | Trabzonspor | 34 | 20 | 9 | 5 | 61 | 39 | 22 | 69 |
| 4 | Beşiktaş | 34 | 17 | 9 | 8 | 59 | 40 | 19 | 60 |
| 5 | Rams Başakşehir | 34 | 16 | 9 | 9 | 58 | 35 | 23 | 57 |
| 6 | Göztepe | 34 | 14 | 13 | 7 | 42 | 32 | 10 | 55 |
| 7 | Samsunspor | 34 | 13 | 12 | 9 | 46 | 45 | 1 | 51 |
| 8 | Çaykur Rizespor | 34 | 10 | 11 | 13 | 46 | 52 | -6 | 41 |
| 9 | Tümosan Konyaspor | 34 | 10 | 10 | 14 | 43 | 50 | -7 | 40 |
| 10 | Kocaelispor | 34 | 9 | 10 | 15 | 26 | 38 | -12 | 37 |
| 11 | Corendon Alanyaspor | 34 | 7 | 16 | 11 | 41 | 41 | 0 | 37 |
| 12 | Gaziantep FK | 34 | 9 | 10 | 15 | 43 | 58 | -15 | 37 |
| 13 | Kasımpaşa | 34 | 8 | 11 | 15 | 33 | 49 | -16 | 35 |
| 14 | Natura Dünyası Gençlerbirliği | 34 | 9 | 7 | 18 | 36 | 47 | -11 | 34 |
| 15 | ikas Eyüpspor | 34 | 8 | 9 | 17 | 33 | 48 | -15 | 33 |
| 16 | Hesap.com Antalyaspor | 34 | 8 | 8 | 18 | 33 | 55 | -22 | 32 |
| 17 | Zecorner Kayserispor | 34 | 6 | 12 | 16 | 27 | 62 | -35 | 30 |
| 18 | Mısırlı.com.tr Fatih Karagümrük | 34 | 8 | 6 | 20 | 31 | 54 | -23 | 30 |
| 19 |

Künye
İletişim
Facebook
Twitter
RSS
Sitene Ekle
Günün Haberleri